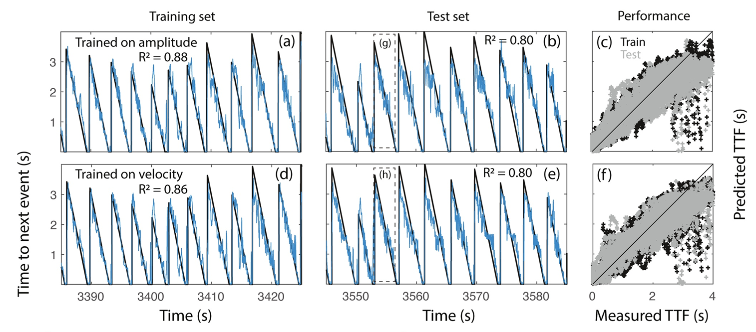
Although laboratory stick-slip instabilities are not nearly as complex as crustal earthquakes, they can be quite complex and somewhat unpredictable. We have successfully used simple machine learning algorithms on geophysical observables such as seismic wave amplitudes and velocities to forecast these stick-slips in cm-scale faults in the laboratory. Current and future efforts will focus on determining whether such methods are applicable to larger, more complex faults in the laboratory and in nature.
Related publications: Shreedharan et al., 2022 and Shokouhi et al., 2021.

Previous
Previous

Frictional and microstructural characterization of fault zones